TIL
Machine Learning Specialization - Coursera: 1주차 정리
Eric Ju
2025. 5. 12. 00:45
What is Machine learning(기계학습)?
컴퓨터에게 명시된 프로그래밍 없이도 학습하는 능력을 부여하는 방법에 대한 연구.
Machine learning의 두 종류
- Supervised learning(지도학습): 정답으로 분류된(labeled) 데이터를 제공하며, 알고리즘은 이를 통해 학습. (e.g. x-y 함수, 회귀분석)
- Unsupervised learning(비지도학습): 분류되지 않은(unlabeled) 데이터를 제공하며, 알고리즘은 여기서 패턴을 발견. (e.g. x값만 포함한 데이터)
Supervised learning의 종류
- Regression(회귀분석): 값에 대한 결과를 예측하며, 무한한 결과값이 가능함. (e.g. 주택의 평당 가격)
- Classification(분류): 비수치적 범주(non-numeric category)에 대한 예측, 결과값의 종류는 비교적 적음. (e.g. 종양의 양성 판정)
Unsupervised learning의 종류
- Clustering(군집화): 데이터를 유사한 특성을 가진 그룹으로 나눔. (e.g. 고객 세그먼트 자동 군집화)
- Anomaly detection(이상 탐지): 데이터에서 이상치 탐색.
- Dimensionality reduction(차원 축소): 데이터를 더 적은 차원으로 압축.
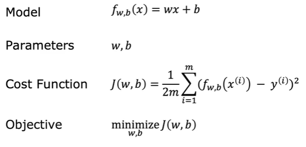
Linear Regression
- Training set: 모델을 훈련시키는 데 사용되는 데이터.
- x = "input" variable feature
- y = "output" variable = "target" variable
- m = number of training examples
- Training set → Learning algorithm → f (hypothesis)
- f의 역할: x(input)을 투입해 y-hat(estimated y)를 산출.
- 𝑓𝑤,𝑏(𝑥) = 𝑤𝑥 + 𝑏 → linear regression with one variable
- 𝑤, 𝑏: parameters
Cost Function
- squared error cost function:

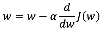
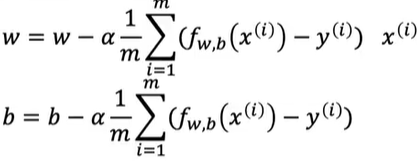
- gradient descent(그라데이션 하강): 𝑤 = 0, 𝑏 = 0에서 시작해 J(𝑤, 𝑏)가 최솟값이 되는 𝑤, 𝑏를 찾는 것.
- gradient descent algorithm(그라데이션 하강 알고리즘)


- α: learning rate(학습률) → α이 너무 작으면, 그라데이션 하강이 너무 느리다. α이 너무 크면, 그라데이션 하강이 너무 빠르다